koodev

Rank

Math

Rank is the number of linearly independent rows or columns in a matrix. Following matrix is a 2-rank matrix(not 3) as 3rd row can be made by composition of 1st and 2nd row.

Reference: https://blog.naver.com/dhkdwnddml/220313237499

'Math' 카테고리의 다른 글

Manifold  (0) 2019.12.24
미분 Chain Rule  (0) 2019.07.31
미분 곱의 법칙 (Product rule)  (0) 2019.07.22
미분 관련 수학 기호  (1) 2019.06.07
Right Coset  (0) 2017.06.27

Manifold

Math

최근에 'Manifold' 라는 단어와 마주치게 되었다. 처음에는 도대체 무얼 말하는지 이해가 되질 않다가 최근에 조금씩 이해되기 시작하여 정리해 두기로 했다. 가장 결정적인 도움이 된 아티클은 http://bjlkeng.github.io/posts/manifolds/ 인데, 이 글에서 Tangent Space의 기저 변환을 다루고 있는 후반부(정확히는 Jacobian 행렬부터)는 이해하지 못했다. 여기에서는 기본 개념만 정리한다. Manifold는 한글로 '다양체'라고 불리는데, 별로 와닿지가 않아 그냥 Manifold라고 썼다.

Manifold는 정의부터 들어가면 이해하기 어려울 것 같고, 예제를 먼저 나열해 보자. 여러 아티클 및 서적에서 1D Manifold의 예로 원(Circle)을, 2D Manifold의 예로 구체(Sphere)를 예로 들고 있다. 그 밖에 도넛(torus)이나 Klein Bottle 같은 이상한 도형들도 있는데, 이런 예들 중에 가장 최고는 '지도책(atlas)' 이라고 생각한다. 나는 지도책을 떠올리면서 Manifold의 개념을 직관적으로 이해할 수 있었다.

'지도책(atlas)'은 우선 '지도(map)'와는 조금 다른 개념이다. 지도책은 여러 장의 지도를 모아 놓은 것이다. Manifold를 쉽게 이해하기 위해 지도책을 "여러 장의 '연관된' 지도를 모아 놓은 것"이라고 해 두자. 좀 더 구체적인 예를 들어서 우리나라(대한민국)와 우리나라 전국 도로 교통 지도책을 떠올려보자. 여기서 A를 대한민국의 지형, B를 지도책이라고 하자.

첫 번째로 생각해야 하는 Manifold의 개념은 차원 이동이다. 대한민국의 지형은 3D이다. 3D 지형을 쉽게 풀어서 교통 및 지역정보를 제공하기 위해서 3D개념을 2D로 옮기고 복잡하고 구체적인 이미지를 단순하고 직관적인 이미지로 추상화시켜서 만든게 지도이다. 즉, A에서 B로 가면서(매핑되면서) 3D공간이 2D공간으로 바뀌는 것이다.

두 번째로 생각해야 하는 것은 A가 B로 가면서 한 번에 표현되는 것이 아니라 여러 개의 subset 들이 모여서 B를 이룬다는 것이다. 대한민국을 한 장의 지도로 표현하기에는 종이도 커야 하고, 만들기도 힘들기 때문에 여러 장으로 나누어서 지도'책'을 만드는 것이다. Manifold의 제약사항에 의해서 B는 반드시 두 개 이상의 부분집합으로 표현되어야 한다. 관련된 제약사항 하나가 더 있는데, 반드시 낙장이 없어야 한다. 대한민국 지도책이라면 빠진 곳 하나 없이 대한민국의 모든 지역이 지도책에 의해 다 커버되어야 한다. 예를 들어 작은 지역이라고 독도나 작은 섬 등이 빠져서는 Manifold라고 할 수 없다!

지금까지 대한민국(A)과 지도책(B)에 대해서 이야기를 했는데, 그럼 Manifold는 무엇인가? 여기서는 대한민국이 Manifold이고 지도책은 Atlas라고 부르고(그게 그거 아닌가..), 지도책을 이루는 각 지역의 지도를 Coordinates 또는 Local Coordinates 라고 하며, 대한민국의 한 지역에서 지도 한 장으로 가는 각각의 매핑을 Chart 라고 한다. 위에서 예를 든 사항을 만족하는 A를 Manifold 라고 부르는 것이다.

그러면 이제 Manifold의 진짜 정의에 대해서 알아보자.

N차원의 Topological Manifold M은 N차원의 Topological Hausdorff 공간으로서 유한 갯수의 기저를 가지며 "지역적으로" ℝn(N차원 실수공간)에 준동형사상(Homeomorphic) 된다. 이는 M에 속하는 모든 점 p는 열린 집합 형태를 갖는 이웃점들의 집합인 U를 가지며, 각각의 U는 준동형사상(Hoemomorphic)인 φ:U → V 을 가진다. 여기서 V ⊂ n 이다. 추가적으로 아래 내용도 알아두자.

  • U에서 V로 가는 φ:U → V 이 매핑을 'Chart' 혹은 'Coordinate System'이라고 부른다.
  • U집합을 해당하는 Chart에 대한 '도메인(Domain)' 혹은 'Local Coordinates Neighborhood'라고 부른다.
  • U에 속하는 점 p(p ∈ U)의 매핑된 이미지를 φ(p) ∈ ℝ으로 표기하고, 해당하는 Chart에 대한 p의 'Coordinates' 혹은 'Local Coordinates' 라고 부른다.
  • 이런 Chart 들의 모음을 { φα | α ∈ ℕ } 라고 하자. Uα 가 도메인이라고 하고, 모든 도메인의 합집합이 M이 될 경우 Chart의 모음인 { φα | α ∈ ℕ } 를 'Atlas' 라고 한다.

위에서 'Hausdorff 공간'이라는 개념이 나오는데 크게 중요하지 않다고 한다. 그럼 좀 더 이해를 돕기 위해 아래 다이어그램을 살펴보자.

Figure 4: Two intersecting patches (green and purple with cyan/teal as the intersection) on a manifold with different charts (continuous 1-1 mappings) to   ℝn Euclidean space. Notice that the intersection of the patches have a smooth 1-1 mapping in ℝn Euclidean space, making it a differential manifold (source: Wikipedia).

위 다이어그램에서 Manifold는 X이다. 이 X는 n+k 차원의 개체이다. 그리고 X에서 서로 다른 두 개의 조각(또는 도메인 혹은 Local Coordinate Neighborhoods) Uα(초록)와 Uβ(보라)를 정의했다. X는 Manifold이기 때문에 X안의 모든 점은 각자가 지역적으로(Locally) 낮은 차원의 유클리드 공간(ℝn)으로의 매핑 φ(Chart 혹은 Coordinate System)을 각각 갖는다. 만일 우리가 Manifold X의 도메인 중 하나에서 점 p를 하나 고른다음 낮은 차원의 유클리드 공간으로 매핑을 한다면(φ를 통해서), 이렇게 매핑된 점을 해당 Chart(φ)에서 점 p에 대한 Coordinate 혹은 Local Coordinate 라고 부른다. 그리고 이러한 Chart가 여럿 있고 이들의 도메인이 전체 Manifold X를 커버한다면, 이들 Chart들을 Atlas라고 부르는 것이다.

Figure 4 다이어그램을 조금 더 살펴보면 Uα(초록)와 Uβ(보라)에서 교집합 부분(하늘색)에서 각각의 Chart에 의해 매핑된 저차원의 공간에서 또 다른 매핑이 존재한다. 즉, 두 매핑 φαβ = φβ ∘ φα-1φβα = φα ∘ φβ-1 이고, 이들의 도메인은 각각 φα(Uα ∩ Uβ)와 φβ(Uα ∩ Uβ) 로 제한되며, 이들 매핑을 'Transition Map'이라고 부른다. 이 Transition 매핑을 궂이 언급한 이유가 있다. 이들 Transition 매핑이 미분가능(differentialble)하면 Differentiable Manifold라는 클래스로 정의된다. Differentiable Manifold는 Ck로 표기하고 k는 k번 미분 가능하다는 뜻이다. 특히 이들 Transition 매핑이 무한 번 미분 가능하다면(Infinitely Differentiable, C) 이것을 'Smooth Manifold'라고 부른다.

참고로 무한 번 미분 가능하다는 것은 말 그대로 (해당 구간에서) 고계도 미분을 끝도 없이 할 수 있다는 의미이다. 다항함수(Polynomial)는 무한 번 미분 가능하기 때문에 모든 함수가 무한 번 미분 가능해 보인다. 하지만 y=|x|⋅x 같은 경우 한 번 미분은 가능하지만(2⋅|x|) 두 번째 부터는 x=0 지점에서 미분이 불가능하여 모든 실수 구간에서 Infinitely Differentiable 하지 않다.

Smooth Manifold가 중요한 이유는 미적분같은 기법들을 적용하여 Manifold를 분석할 수 있기 때문이다. Chart를 통해 변환된 저차원의 유클리드 공간에서는 원본 Manifold에서보다 훨씬 쉽게 분석 기법들을 적용할 수 있게 된다(전국도로교통 지도책을 생각해보자).

참고

'Math' 카테고리의 다른 글

Rank  (0) 2020.10.13
미분 Chain Rule  (0) 2019.07.31
미분 곱의 법칙 (Product rule)  (0) 2019.07.22
미분 관련 수학 기호  (1) 2019.06.07
Right Coset  (0) 2017.06.27

미분 Chain Rule

Math

미분에서 Chain Rule(연쇄법칙)은 합성함수를 미분할 때 사용하는 공식으로 아래와 같은 형태를 갖는다.

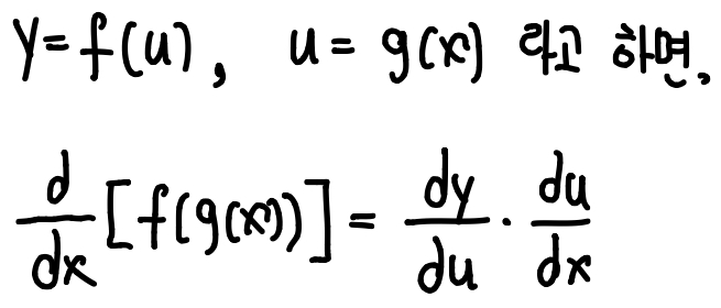
F = f ∘ g,즉, F(x) = f(g(x)) 라고 할 때, F'(x) = f'(g(x)) ⋅ g'(x)

또는 아래와 같이 d 기호를 써서 나타낼 수도 있다(내가 선호하는 방식이다).

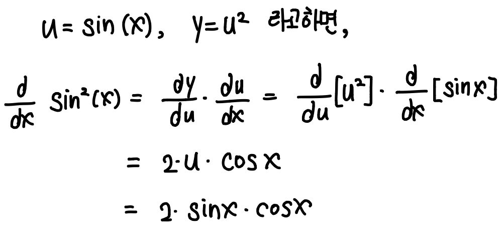
Chain Rule을 사용하면 복잡한 형태의 함수를 공식을 외우거나 전개하지 않고도 좀 더 쉽게 미분할 수 있다. 예를 들어 y = sin2(x) 를 미분한다고 해 보자(sin'(x) = cos(x) 은 미리 알고 있다고 가정한다).

위의 경우는 아주 간단한 문제였지만, 지수 부분이 다른 숫자이거나 분수인 경우에도 Chain Rule을 사용하여 문제를 나누어 풀이할 수 있다.

'Math' 카테고리의 다른 글

Rank  (0) 2020.10.13
Manifold  (0) 2019.12.24
미분 곱의 법칙 (Product rule)  (0) 2019.07.22
미분 관련 수학 기호  (1) 2019.06.07
Right Coset  (0) 2017.06.27

미분 곱의 법칙 (Product rule)

Math

미분에서 곱의 법칙(Product rule)에 대해 정리해 본다. 곱의 법칙은 두 개 이상의 함수가 곱으로 연결되어 있을 경우에 사용하는 공식으로 아래와 같이 정의된다.

(f ⋅ g)' = f' ⋅ g + f ⋅ g'

그럼 지금부터 이 공식 증명을 해 본다. 증명방법은 위키피디아에 있는 방식을 가져와서 내가 이해할 수 있는 수준으로 풀어서 정리한다. 증명에서 핵심은 중간에 f(x)g(x+Δx)를 빼 주고 더해 주는 트릭이다.

h(x) = f(x)g(x) 라고 하고, h'(x)를 구한다고 해 보자(h(x)는 x의 위치에서 미분 가능하다는 가정). 그리고 미분의 정의는 아래와 같다는 사실을 염두해두자.

여기서 h(x)를 f(x)g(x) 로 치환해서 위의 식에 대입해보자.

여기서 트릭을 하나 써본다. 아래와 같이 분자의 두 항에 대해서 각각 f(x)g(x+Δx)를 빼 주고 더해 준다.

위 식을 분배법칙에 의해서 정리해 본다.

이어서 극한기호(lim)까지 전개하여 아래와 같이 정리할 수 있다.

이 상태에서 각 항들을 자세히 살펴보면 아래와 같이 첫 번째와 세 번째 극한(lim) 항은 각각 g(x)와 f(x)로, 두 번째와 네 번째는 각각 f와 g의 미분 도함수로 정리된다는 사실을 확인할 수 있다.

'Math' 카테고리의 다른 글

Manifold  (0) 2019.12.24
미분 Chain Rule  (0) 2019.07.31
미분 관련 수학 기호  (1) 2019.06.07
Right Coset  (0) 2017.06.27
Lagrange's Theorem과 Counting Formular  (0) 2017.06.22

미분 관련 수학 기호

Math

편미분 기호 -  ∂

편미분 기호. 읽을 때는 [del] 이라고 읽는다(그동안 a 나 6이라고 읽었다...). 편미분을 영어로는 'partial derivative' 라고 하며, HTML 코드는 ∂, LaTex 코드는 \partial 이다.

위의 수식을 영어로 읽을 때는 "the partial derivative of z with respect to x" 와 같이 읽으면 된다.

그라디언트 - ∇

다차원 공간에서 편미분한 것들을 모아 놓은 것을 그라디언트 라고 한다. 읽을 때는 [nabla] 라고 읽고(이제 세모 또는 역삼각형 이라고 읽지 말자...), HTML 코드는 ∇, LaTex 코드는 \nabla 이다.

참고로 'nabla'는 고대 그리스 페키니아의 현악기의 이름에서 가져왔다고 한다.

한글로는 정확하지 않지만, 그냥 '기울기' 라고 하는 것 같다.

'Math' 카테고리의 다른 글

미분 Chain Rule  (0) 2019.07.31
미분 곱의 법칙 (Product rule)  (0) 2019.07.22
Right Coset  (0) 2017.06.27
Lagrange's Theorem과 Counting Formular  (0) 2017.06.22
Subgroup으로 생성되는 Left Coset  (0) 2017.06.16

Right Coset

Math

다시 한 번 집고 넘어가보자. Group G의 Subgroup H Left Coset을 아래와 같이 정의했다.

aH = {ah | hH}

위 식을 가지고 Right Coset을 정의하면 아래와 같다.

Ha = {ha | hH}

Right Coset들도 역시 Congruence Relation을 이루는 Equivalence Class이다. Left Coset의 Equivalence Relation과 비교해보자.

ab if b = ha, for some hH

Right Coset과 Left Coset은 일치하지 않을 수 있다. Cosets 관련 포스트에서 계속 예로 들어온 S3 과 Subgroup {1, xy} 에서의 Right Coset은 아래와 같다.

{1, xy} = H = Hxy,
{x, y} = Hx = Hy,
{x2, x2y} = Hx2 = Hx2y

반면에 Left Coset은 아래와 같았다.

{1, xy} = H = xyH
{x, x2y} = xH = x2yH
{x2, y} = x2H = yH

이렇게 Left와 Right Coset으로 나뉘어진 Partition은 다를 수 있으나.., 그런데 N이 Normal Subgroup일 경우엔 Left와 Right Coset이 서로 같게 된다.

여기서 Normal Subgroup이 뭐였는지에 대해 잠깐 복습해보자.

Definition. 다음 속성을 갖는 Group G의 Subgroup NNormal Subgroup이라고 부른다: 모든 aN와 모든 bG에 대하여 Conjugate bab-1N의 엘리먼트이다. (여기서 Subgroup N이 꼭 Kernel일 필요는 없다)

다시 본론으로 돌아와서 Normal Subgroup으로 만들어진 Left와 Right Coset에 대해 살펴보자.

Proposition. Group G의 Subgroup H가 Normal Subgroup일 경우에만(if and only if) 모든 Left Coset은 Right Coset이기도 하게 된다. 즉, H가 Normal일 경우, 모든 aG에 대하여 aH = Ha 이게 된다.

Proof. H가 Normal이라고 하자. 그러면 Normal의 정의에 의해 hHaG에 대하여

ah = (aha-1)a

이게 된다. 제일 오른쪽 두 항이 서로 역이라서 소거되므로 둘은 같다.

H가 Normal Subgroup이기 때문에 (Normal의 정의에 의해) Conjugate 엘리먼트인 k = aha-1H의 엘리먼트이기도 하게된다. 따라서 엘리먼트 ahah = ka 가 성립하고, 이 엘리먼트는 aH에도 속하고, Ha에도 속한다. 즉, aHHa 이며, aHHa 이므로 두 Coset들은 서로 같게 된다.

이번엔 반대로 H가 Normal이 아닌 경우를 생각해보자. 그러면 aha-1H인 엘리먼트 hHaG 가 존재할 것이다. 그리고 ah는 Left Coset인 aH의 엘리먼트이지만 Right Coset인 Ha의 엘리먼트는 아니게 된다. 근데 만일에 ah가 Right Coset에도 포함된다고 생각해보자. ah = h'a for some h' ∈ H 이고, 그러면 aha-1 = h' (aa-1) H 이게 된다. 이러면 애초에 Normal이 아닌 조건, 즉 aha-1H 였으므로 모순이 된다. 따라서 Normal Subgroup이 아니면 Left Coset과 Right Coset이 같을 수가 없는 것이다.

한가지 더, aHHa가 공통의 엘리먼트를 하나 갖고 있다고 하자. 그 엘리먼트는 분명히 a이다. 따라서 aHa말고 다른 Right Coset과 같은 것이 있을 수 없다. 이를 통해 Left Coset으로 나뉘어진 Partition과 Right Coset으로 나뉘어진 Partition이 같을 수가 없다는 것을 확인할 수 있다.

'Math' 카테고리의 다른 글

미분 곱의 법칙 (Product rule)  (0) 2019.07.22
미분 관련 수학 기호  (1) 2019.06.07
Lagrange's Theorem과 Counting Formular  (0) 2017.06.22
Subgroup으로 생성되는 Left Coset  (0) 2017.06.16
Congruence Relation & Coset  (0) 2017.06.10

Lagrange's Theorem과 Counting Formular

Math

지난 내용에서 Group G의 Subgroup H Left Coset을 아래와 같이 정의했다.

aH = {ah | hH}

여기서 어떤 Subgroup의 Left Coset의 개수를 Index of H in G라고 부르고 아래와 같이 표기한다.

[G : H]

예를 들어 Group G를 Symmetric Subgroup S3이며 G = {1, x, x2, y, xy, x2y} 라고 하고, xy가 아래와 같고,

x =
010
001
100
 ,  y =
010
100
001

Subgroup H = {1, xy} 일 때, [G : H] = 3 이다. 물론 G가 무한개의 엘리먼트를 가진다면 Index도 무한대가 된다.

Subgroup H에서 Coset aH으로의 관계는 Bijective 매핑: hah 이다. 따라서 아래 내용이 성립한다.

Coset aH의 엘리먼트 개수는 H의 엘리먼트 개수와 같다.

H의 Coset들의 합집합(Union)은 G가 되며, 각각의 Coset들은 서로 겹치지 않기 때문에 Counting Formula라고 불리는 아래와 같은 공식을 이끌어낼 수 있다.

|G| = |H| [G : H]
(G의 Order) = (H의 Order) × [G : H]

즉, 위의 예에서 G의 Order는 H의 Order가 2이고, H의 Left Coset은 총 3개가 나오므로, 2 × 3 = 6 이 된다.

그리고 위의 공식에서 우변의 두 항 모두가 좌변을 나눌 수 있다는 사실은 굉장히 중요하다. 이 사실을 정리하면 아래와 같은 Lagrange's Theorem이 된다.

Corollary. Lagrange's Theorem:
G를 유한한 Group이라고 하고, HG의 Subgroup이라 하면, H의 Order가 G의 Order를 나눌수 있다.

나눈 값은 [G : H]이다. 앞서 Cyclic Subgruop에서 어떤 엘리먼트 aG의 Ordera에 의해 생성되는 Cyclic Subgroup의 Order라고 했다. 따라서 Lagrange's Theorem은 아래 내용을 내포한다.

Group에서 어떤 엘리먼트의 Order는 그 Group의 Order를 나눌 수 있다.

그리고 이 사실을 바탕으로 아래의 내용을 도출한다.

Corollary. Gp개의 엘리먼트를 갖고 있다고 하고 p는 소수(1과 자기 자신으로 나눌 수 있음)라고 하자. 그리고 Identity가 아닌 엘리먼트 aG가 있다고 하자. 그러면 Ga로 생성되는 Cyclic Group: {1, a, ... , ap-1} 이 된다.

a ≠ 1 이기 때문에 a의 Order는 1 보다 크다. 그리고 위의 정리에 의하여 a의 Order가 |G| = p 를 나눈다. p가 1 또는 자기 자신으로밖에 못 나누기 때문에 a의 Order는 p가 되고, a로 인해 생성되는 Cyclic Subgroup은 Order가 p이므로 이는 G와 같게 되는 것이다.

또한 Order가 소수 p인 Group G와 그 엘리먼트 a로 생성되는 Order가 역시 p인 Cyclic Subgroup은 서로 Isomorphic 한 관계가 된다.

Counting Formula는 Homomorphism 에서도 적용될 수 있다. φ:GG' 을 Homomorphism 매핑이라고 하자. ker φ의 Left Coset은 φ의 Fibres 라고 했다(Congruence Relation & Coset). 이들 Fibres는 매핑된 Image와 Bijective한 관계를 갖는다. 따라서 아래 공식도 성립한다.

[G : ker φ] = | im φ |

Group G의 Subgroup인 ker φ 의 Left Coset 개수는 φ 를 통해 사상된 Image의 엘리먼트 개수와 같다. 이를 Counting Formula에 대입하면 아래 내용을 얻을 수 있다.

| G | = | ker φ | · | im φ |

위의 식은 아래와 같은 방식으로 유도된다.

| G | = | H | · [G : H] ... (1)
| G | = | ker φ | · [G : ker φ] ... (2)
| G | = | ker φ | · | im φ | ... (3)
그리고 두 식 (2)와 (3)을 합치면,
| G | = | ker φ | · | im φ |

즉, | ker φ |나 | im φ |나 모두 | G |를 나눈다. 그리고 im φ는 G'의 Subgroup이기 때문에 | im φ |는 G'도 나눌 수 있다.

'Math' 카테고리의 다른 글

미분 관련 수학 기호  (1) 2019.06.07
Right Coset  (0) 2017.06.27
Subgroup으로 생성되는 Left Coset  (0) 2017.06.16
Congruence Relation & Coset  (0) 2017.06.10
Equivalence relations (3) - fibres  (0) 2017.06.08

Subgroup으로 생성되는 Left Coset

Math

앞서 Coset을 다음과 같이 정의했다.

aN = { gG | g = an for some nN}

즉, Group G에서 Homomorphism φ 와 Kernel N을 가질 때, 엘리먼트 a의 Coset은 aN들이다.

그런데 궂이 Homomorphism의 Kernel을 안쓰고도 Coset을 정의할 수도 있다. Group G의 Subgroup HLeft Coset은 아래와 같다.

aH = {ah | hH}

Left에 a가 위치함을 기억해두자. 즉, Kernel 집합 대신에 원래 Group의 Subgroup을 쓴 것이다. Kernel도 Group G의 Subgroup이라는 것을 떠올려보자.

그리고 위의 정의에 따르면 Subgroup H도 coset이다. 왜냐하면 H = 1H 이기 때문이다.

이렇게 만들어진 Coset들은 Congruence Relation을 이루는 Equivalence Class이다.

ab if b = ah, for some hH

위와같이 Coset이 Subgroup H로 정의되었을 때, 왜 Congruence한 것들끼리 Equivalence Relation을 갖게 되는지 살펴보자.

우선 Equivalence Relation이 되는 조건에는 어떤 것들이 있었는지 기억을 더듬어보자.

  1. Transitive: If a ~ b and b ~ c, then a ~ c
  2. Symmetric: If a ~ b, then b ~ a
  3. Reflexive: a ~ a for all aS

Subgroup의 특성을 떠올리면서 하나씩 살펴보자.

Transitivity: ab 이고, bc 라고 해보자. 이는 곧 b = ah, c = bh' for some h, h'H 이다. 두 식을 합치면, c = ahh' 가 된다. 근데 H는 Subgroup이기 때문에 두 h, h'를 Composition하면 hh'H 역시 H 이다. 따라서 ac 가 된다.

Symmetry: ab 라면 b = ah 가 된다. 양 변에 h-1 씩 Composition 해 주면, a = bh-1 이 된다. h-1H 이므로 ba 가 된다.

Reflexivity: a = a1 이고 1 ∈ H 이므로 aa 이다.

Equivalence Class들을 통해 Partition을 형성할 수 있다는 사실을 생각하면 아래 내용을 이끌어낼 수 있다.

Corollary. 어떤 Group에서 어떤 Subgroup에 대한 Left Coset 들은 해당 Group의 Partition을 형성한다.

Left Coset aH는 Group G의 특정 부분집합을 나타낸다. Equivalence Relation에서 서로 다른 표현(예를 들면, a ~ b에서 aNbN은 같은 Coset을 나타냄)이 결국은 같은 부분집합을 나타낼 수도 있다는 것을 생각해보면, aHa를 포함하는 유니크한 Coset이지만 역시 다른 표기법으로 나타낼 수 있다는 사실을 유추해낼 수 있다.

aH = bH if and only if ab

만일 aH와 bH가 공통의 엘리먼트를 갖고 있다면 이 둘은 서로 같다.

예를 들어 Group G를 Symmetric Subgroup S3이며 G = {1, x, x2, y, xy, x2y} 라고 해보자. xy는 아래와 같은 Permutation Matrix이다.

x =
010
001
100
 ,  y =
010
100
001

x는 한 칸씩 시프트(123이 231로)하는 Permutation이고, y는 3을 고정시키고 1과2를 바꾸는 Permutation이다. 여기서 엘리먼트 xy를 가지고 Cyclic Subgroup을 만들 수 있는데, (xy)(xy) = 1 이므로 H = {1, xy} 가 되어 Order 2를 갖는다. 그러면 Group G에서 Subgroup H의 Left Coset들은 아래와 같이 세 개가 나올 수 있다.

{1, xy} = H = xyH
{x, x2y} = xH = x2yH
{x2, y} = x2H = yH

세 번째 식이 좀 헷갈리는데 계산해보면 yxy = x2 이 된다. 이 예에서도 보면 Left Coset들로 전체 Group이 Partition됨을 확인할 수 있다.

'Math' 카테고리의 다른 글

Right Coset  (0) 2017.06.27
Lagrange's Theorem과 Counting Formular  (0) 2017.06.22
Congruence Relation & Coset  (0) 2017.06.10
Equivalence relations (3) - fibres  (0) 2017.06.08
Equivalence relations (2) - Bar 표현식  (0) 2017.06.02

Congruence Relation & Coset

Math

Equivalence Relation in Homomorphism = Congruence Relation = Coset

들어가기에 앞서 Homomorphism에 대해 복습해보자.

Group GG'이 있을 때, Homomorphism이란 φ: GG' 매핑으로 다음 룰을 만족한다: φ(ab) = φ(a)φ(b)

매핑 φ:GG'을 Homomorphism 이라고 하자. 여기서 매핑 φ에 의해 G에 Equivalence Relation이 존재하는지를 살펴보자. 이는 Homomorphism에 fibres가 존재하는지를 알아보는 것이기도 한다. 이 경우, 즉 Homomorphism인 φ에서 아래와 같이 Equivalence한 조건일 경우를 Congruence 라고 하고, 기호로는 ~(tilde) 가 아닌 ≡(삼지창등호?) 으로 표기한다.

ab   if   φ(a) = φ(b)

예를 들어 φ:ℂ× ⟶ ℝ× 가 φ(a) = | a | 으로 절대값을 취하는 Homomorphism 매핑 이라고 하자. 이걸로 정의된 Equivalence Relation에 의하면 | a | = | b | 일 경우 ab 이게 된다. 여기에서 fibres는 아래 그림과 같은 Concentric Circles(동심원)이 된다. 그리고 이들 fibres는 매핑된 이미지 im φ(양의 실수들의 집합)와 bijective한(일대일대응) 관계를 갖는다.

Congruence Relation을 정의하는 것은 앞서 나온 ' ab   if   φ(a) = φ(b) ' 외에도 다른 방법들이 많은데 이들 중 이번에 소개하는 내용이 가장 중요하다.

Proposition. φ:GG'을 Group Homomorphism 이며, Kernel N을 갖고, abG의 엘리먼트라고 하자. 그러면 φ(a) = φ(b) 라는 것은 반드시(if and only if) nN인 어떤 엘리먼트 n에 대하여 b = an 이어야 한다. 또는 같은 의미로 a-1bN 이어야 한다.

Proof. φ(a) = φ(b) 라고 하자. 그러면 φ(a)-1φ(b) = 1 이고, φ가 Homomorphism 이기 때문에 아래 두 식을 사용하면,

φ(ab) = φ(a)φ(b)
φ(a-1) = φ(a)-1 ... since a group homomorphism carries the identity to identity and inverses to inverses

φ(a-1b) = 1 이렇게 쓸 수 있다. 그리고 Kernel의 정의를 다시 떠올려보자. Kernel NxG 에서 φ(x) = 1 인 모든 엘리먼트 x를 말한다. 따라서, φ(a-1b) = 1 라는 것은 곧 a-1bN 이며, a-1b = n (for some nN) 이 된다. 바꾸어 말하면, 만일 b = an 이고, nN 일 경우, φ(b) = φ(a)φ(n) = φ(a)1 = φ(a) 가 된다(끝).

여기서 an 과 같은 형태(어떤 엘리먼트와 Kernel 중의 한 엘리먼트와의 composition)를 갖는 엘리먼트들의 집합을 Coset of N in G 라고 하고, aN 이렇게 쓴다.

aN = { gG | g = an for some nN}

즉, Coset aN은 Group 내에서 a와 Congruent한 모든 엘리먼트 b가 된다.

한편, Congruence Relation 인 ab는 Group G를 Partition 하여 Congruence Class로 만든다. 결국 이 Congruence Class가 Coset aN 이다. 이 Coset 들은 φ 매핑의 fibres 이다. 위의 예제 그림 5.12 에서 보이는 각각의 동심원들이 바로 절대값으로 매핑되는 Homomorphism의 Coset 들인 것이다.

그런데 만일 어떤 Homomorphism에서 Kernel이 Trivial Subgroup, 즉 1 ⟶ 1' 하나로 구성된 경우라면 어떨까?

Corollary. 어떤 Group간 Homomorphism φ:GG'가 Injective 할 경우 반드시(if and only if) Kernel은 Trivial Subgroup인 {1} 이 된다.

Injective란 우리말로 단사함수이며 f(x1) = f(x2) 일 경우는 반드시 x1 = x2 이며, x2x2 이면 f(x1) ≠ f(x2) 가 되는 함수이다. 위의 그림에서 aN이 φ(a)로 대응되는데 Kernel이 한개뿐이라면 당연히 단사함수가 될 것이다.

위의 Corollay를 가지고 어떤 Homomorphism이 Isomorphism인지를 검증할 수 있다. Isomorphism은 양방향이며 Bijective 해야 한다. 즉, ker φ = {1} 이라면, 그 φ는 Injective 할 것이고, 또한 im φ = G' 이 될 것이다. 즉, φ 는 Surjective(전사함수: 치역과 공역이 같음)한 것이다. Injective하고 Surjective하니 Bijective할 것이고 Homomorphism이니 결국은 Isomorphism이 되겠다.

'Math' 카테고리의 다른 글

Lagrange's Theorem과 Counting Formular  (0) 2017.06.22
Subgroup으로 생성되는 Left Coset  (0) 2017.06.16
Equivalence relations (3) - fibres  (0) 2017.06.08
Equivalence relations (2) - Bar 표현식  (0) 2017.06.02
Equivalence relations (1)  (0) 2017.05.31

Equivalence relations (3) - fibres

Math

이전 포스팅의 내용을 다시 생각해보면, 어떤 매핑함수 φ:ST 가 정의역(domain) S에서 Equivalence Relation을 형성한다고 했을 때, φ(a) = φ(b) 이라는 것은 a ~ b 임을 의미한다. 매핑함수가 서로 Equivalence Class 임을 판별하는데 쓰이는 것이다. 이렇게 φ 매핑에 의해서 Equivalence Relation이 형성되었을 때 이것을 the Equivalence Relation determined by the map 이라고 한다.

매핑에는 Inverse(역사상)도 있을 수가 있다. 위의 경우에는 T의 엘리먼트에 대응되는 S쪽 Partition이 Inverse 이미지가 된다. 즉, 엘리먼트 tTInterse Image는 모든 엘리먼트 s가 아래와 같은 S의 부분집합이 되게 된다.

φ-1(t) = {sS | φ(s) = t}

즉, φ-1(t)은 정의역(domain)이었던 S의 부분집합이 된다. 이러한 표현은 단지 표현방식일 뿐이고 여기서 φ-1은 함수가 아니다. 출력이 여러 엘리먼트가 될 수도 있기 때문이다. 이렇게 나오는 Inverse Image들을 fibres of the map φ 라고 부른다. Nonempty인 fibres φ-1(t) 라는 것은 t가 φ의 Image이며, S의 Partition을 형성한다는 것을 의미한다. 여기서 Nonempty fibres 들의 집합인 Equivalence Class S 는 φ 매핑의 이미지 im φ 를 만들어 낼 수도 있다.

φ:S ⟶ im φ

위의 매핑은 일대일매핑(bijective)으로 S의 엘리먼트 s를 φ(s)로 보내는 매핑이다. 이건 φ:ST 와 같아보일수도 있지만 입력이 개별 엘리먼트인 s단위가 아니라 fibres인 s단위이다.

한편, fibres는 영국식 표현이라고 한다. 미국식으로는 fiber 라고하며, 우리말로는 올다발이다.

'Math' 카테고리의 다른 글

Subgroup으로 생성되는 Left Coset  (0) 2017.06.16
Congruence Relation & Coset  (0) 2017.06.10
Equivalence relations (2) - Bar 표현식  (0) 2017.06.02
Equivalence relations (1)  (0) 2017.05.31
Homomorphisms (2): image, kernel and normal subgroup  (0) 2017.05.24