미분 Chain Rule
Math미분에서 Chain Rule(연쇄법칙)은 합성함수를 미분할 때 사용하는 공식으로 아래와 같은 형태를 갖는다.
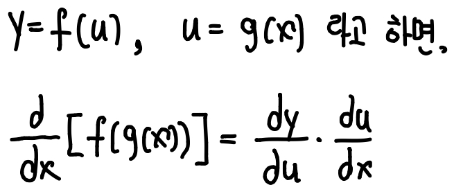
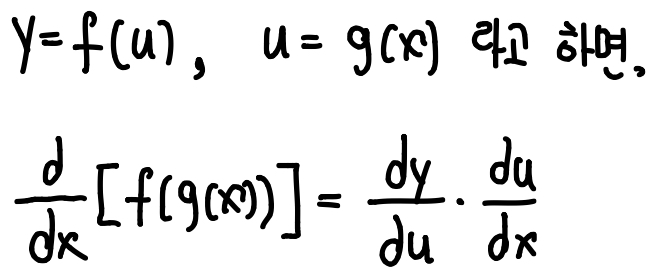
F = f ∘ g,즉, F(x) = f(g(x)) 라고 할 때, F'(x) = f'(g(x)) ⋅ g'(x)
또는 아래와 같이 d 기호를 써서 나타낼 수도 있다(내가 선호하는 방식이다).

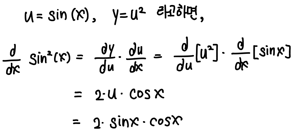
Chain Rule을 사용하면 복잡한 형태의 함수를 공식을 외우거나 전개하지 않고도 좀 더 쉽게 미분할 수 있다. 예를 들어 y = sin2(x) 를 미분한다고 해 보자(sin'(x) = cos(x) 은 미리 알고 있다고 가정한다).

위의 경우는 아주 간단한 문제였지만, 지수 부분이 다른 숫자이거나 분수인 경우에도 Chain Rule을 사용하여 문제를 나누어 풀이할 수 있다.
'Math' 카테고리의 다른 글
| Rank (0) | 2020.10.13 |
|---|---|
| Manifold (0) | 2019.12.24 |
| 미분 곱의 법칙 (Product rule) (0) | 2019.07.22 |
| 미분 관련 수학 기호 (1) | 2019.06.07 |
| Right Coset (0) | 2017.06.27 |