koodev

'전체 글'에 해당되는 글 75건

  1. Emacs - Python 문서 열람시 멈춤현상
  2. 미분 Chain Rule
  3. 미분 곱의 법칙 (Product rule)

Emacs - Python 문서 열람시 멈춤현상

Emacs

제목을 두서없이 쓰긴 했는데, 다음 스택오버플로 링크와 똑같은 문제이다.

https://stackoverflow.com/questions/21517747/emacs-freezing-when-asking-jedi-auto-complete-information-while-interpreter-is-b

어느날부터 이맥스로 파이썬 문서를 열고, 커서를 움직이다가 보면 커서가 멈추고 에디터에 반응이 없게 되는 현상이 발생하기 시작했다. 파이썬 문서에서만 발생하며, C-g 를 연타하면 멈춤현상에서 빠져나올 수 있지만 잠시 후 다시 멈춤현상이 나타난다. 멈춤현상이 발생했을 때 top 명령어로 프로세스들을 봤는데 (elpy인지 jedi인지 확실하지 않지만) 어떤 파이썬 프로세스의 CPU 점유율이 100% 가까이 되었고, 메모리 사용량도 계속 늘어나고 있었다. 환경은 iMac 27-inch Late 2015, macOS Mojave Version 10.14.6, Emacs 26.3(25.1.1 에서도 동일) 이다.

elpy 관련 패키지를 추가로 설치한 지금은 멈춤현상이 발생하는 빈도가 많이 줄었다. M-x elpy-config 를 실행하면 elpy 설정정보가 나오는데, 여기에서 elpy 관련 추가 패키지들의 버전 정보 등을 보여준다. 내 경우 기본 패키지만 설치되어 있었고 그마저도 예전 버전이라서 기본 패키지와 더불어 추가 패키지들도 모두 설치했다. 패키지들은 jedi, autopep8, yapf, black, flake8 등이었고 pip 명령어를 실행할 수 있도록 elpy-config 버퍼에서 실행 링크를 제공하고 있다.

참고: https://emacs.stackexchange.com/questions/47128/elpy-autocomplete-stops-working-unexpectedly

'Emacs' 카테고리의 다른 글

Emacs JSON 과 C 블록 숨기기  (0) 2019.11.17
Emacs Major/Minor 모드  (0) 2019.10.23
Emacs Wdired 모드  (0) 2019.06.29
macOS 에서 Emacs 데몬이 종료되지 않는 문제  (0) 2019.06.07
Create a new file in ido mode  (0) 2019.06.07

미분 Chain Rule

Math

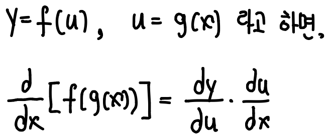
미분에서 Chain Rule(연쇄법칙)은 합성함수를 미분할 때 사용하는 공식으로 아래와 같은 형태를 갖는다.

F = f ∘ g,즉, F(x) = f(g(x)) 라고 할 때, F'(x) = f'(g(x)) ⋅ g'(x)

또는 아래와 같이 d 기호를 써서 나타낼 수도 있다(내가 선호하는 방식이다).

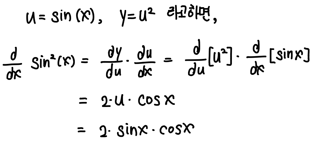
Chain Rule을 사용하면 복잡한 형태의 함수를 공식을 외우거나 전개하지 않고도 좀 더 쉽게 미분할 수 있다. 예를 들어 y = sin2(x) 를 미분한다고 해 보자(sin'(x) = cos(x) 은 미리 알고 있다고 가정한다).

위의 경우는 아주 간단한 문제였지만, 지수 부분이 다른 숫자이거나 분수인 경우에도 Chain Rule을 사용하여 문제를 나누어 풀이할 수 있다.

'Math' 카테고리의 다른 글

Rank  (0) 2020.10.13
Manifold  (0) 2019.12.24
미분 곱의 법칙 (Product rule)  (0) 2019.07.22
미분 관련 수학 기호  (1) 2019.06.07
Right Coset  (0) 2017.06.27

미분 곱의 법칙 (Product rule)

Math

미분에서 곱의 법칙(Product rule)에 대해 정리해 본다. 곱의 법칙은 두 개 이상의 함수가 곱으로 연결되어 있을 경우에 사용하는 공식으로 아래와 같이 정의된다.

(f ⋅ g)' = f' ⋅ g + f ⋅ g'

그럼 지금부터 이 공식 증명을 해 본다. 증명방법은 위키피디아에 있는 방식을 가져와서 내가 이해할 수 있는 수준으로 풀어서 정리한다. 증명에서 핵심은 중간에 f(x)g(x+Δx)를 빼 주고 더해 주는 트릭이다.

h(x) = f(x)g(x) 라고 하고, h'(x)를 구한다고 해 보자(h(x)는 x의 위치에서 미분 가능하다는 가정). 그리고 미분의 정의는 아래와 같다는 사실을 염두해두자.

여기서 h(x)를 f(x)g(x) 로 치환해서 위의 식에 대입해보자.

여기서 트릭을 하나 써본다. 아래와 같이 분자의 두 항에 대해서 각각 f(x)g(x+Δx)를 빼 주고 더해 준다.

위 식을 분배법칙에 의해서 정리해 본다.

이어서 극한기호(lim)까지 전개하여 아래와 같이 정리할 수 있다.

이 상태에서 각 항들을 자세히 살펴보면 아래와 같이 첫 번째와 세 번째 극한(lim) 항은 각각 g(x)와 f(x)로, 두 번째와 네 번째는 각각 f와 g의 미분 도함수로 정리된다는 사실을 확인할 수 있다.

'Math' 카테고리의 다른 글

Manifold  (0) 2019.12.24
미분 Chain Rule  (0) 2019.07.31
미분 관련 수학 기호  (1) 2019.06.07
Right Coset  (0) 2017.06.27
Lagrange's Theorem과 Counting Formular  (0) 2017.06.22